بررسی مجله ای سی بلاگ: دستگاه تصفیه هوا و رطوبت ساز ال جی آکوا

هوا را از من بگیر، خنده را نه. شاید رمانتیک باشد و سخت ترین دل ها را تحت تاثیر قرار دهد، اما یک گشت کوتاه در هوای پاییزی شهرهای بزرگی مثل تهران نشان می دهد بدون هوای پاک، چندان هم نمی توان به عشق و عاشقی پرداخت. در این فصل همزمان با حال و هوای عاشقانه ی پاییز، پدیده وارونگی گرمایی رخ می دهد و اهمیت تنفس در هوای پاکیزه را یادآوری می کند. برای درک اهمیت موضوع کافی است بدانید بر اساس جدیدترین تحقیقات انجام گرفته، آلودگی آب و هوا هر سال از جنگ ها بیشتر تلفات می گیرد، حتی بیشتر از مجموع قربانیان ایدز و مالاریا در سراسر جهان. این موضوع تولید کنندگان حوزه فناوری را به فکر راهکار انداخته و حالا محصولات خانگی و صنعتی متنوعی برای تصفیه کردن هوا در بازار وجود دارد.
تصفیه کننده هوای LG Aqua AM30GUWF1 یکی از نمونه های خانگی این محصول است که با فیلترهای متعدد خود قادر است تا شعاع ۴۰ تا ۵۰ متر مربع، هوایی مطبوع و دلپذیر برای شما فراهم کند. برای آشنایی با ویژگی ها و عملکرد این محصول، در ادامه با بررسی مجله ای سی بلاگ همراه باشید.
طراحی و راه اندازی

پس از خارج کردن ال جی آکوا از بسته بندی، ابتدا باید با دقت کافی مراحل مربوط به راه اندازی اولیه دستگاه را انجام دهید. چندتایی فیلتر داخل بدنه و بسته بندی محصول وجود دارد که با پوشش پلاستیکی محافظت می شوند. با دنبال کردن برچسب های توضیح که شرکت کره ای در گوشه و کنار دستگاه تعبیه کرده فیلترها را با ترتیب صحیح و جهت مناسب در محل مورد نظر نصب کرده و محفظه آب دستگاه را پر کنید.

این کار از کنار بدنه انجام می شود. با کشیدن دستگیره از بالا محفظه از جای خود خارج می شود و درب آن در پایین تعبیه شده است. اگر مراحل را به درستی انجام داده باشید دستگاه برای شروع فعالیت آماده خواهد بود. اما پیش از پرداختن به امکانات و عملکرد دستگاه نگاهی داریم به طراحی ظاهری آن. تصفیه کننده هوای ال جی آکوا ۱۰.۲ کیلوگرم وزن دارد و ابعاد دستگاه ۴۵۰ (عرض) در ۶۳۵ (ارتفاع) در ۳۰۵ (عمق) میلی متر در نظر گرفته شده است. با وجود وزن و ابعاد نه چندان کم، روی بدنه یک دستگیره تعبیه شده که به راحتی با استفاده از آن می توانید حتی با یک دست محصول را جابجا کنید، البته در صورت خالی بودن مخزن آب.

نمای روبروی دستگاه کاملاً ساده طراحی شده و تنها نشان سازنده را در خود دارد. پایین بدنه یک چراغ نشانگر تعبیه شده که رنگ های مختلفی را با توجه به عملکرد دستگاه روی زمین می تاباند. دکمه های کمترل عملکرد و نمایشگر محصول نیز بالای بدنه هستند. هرچند نمای روبروی دستگاه ساده و شکیل است، اما بد نیست بدانید شرکت کره ای در نسل مدل قدیمی تر، صفحه نمایش دستگاه را در نمای روبرو تعبیه کرده بود تا از فواصل دور هم قابل مشاهده باشد، اما در مدل جدید برای دیدن جزئیاتی مثل مقدار دقیق آلاینده های محیط باید بالاسر دستگاه رفته و صفحه نمایش را ببینید.

البته شرکت سازنده پایین بدنه یک چراغ تعبیه کرده که با تغییر رنگ میزان آلودگی محیط را نمایش می دهد، در نتیجه الزامی برای مراجعه به نمایشگر دستگاه وجود ندارد مگر اینکه بخواهید از مقدار دقیق آلاینده های موجود در هوا مطلع شوید. این نمایشگر ذرات موجود در هوا را به ۳ دسته ۱۰ میکرون، ۲.۵ میکرون و ۱ میکرون تقسیم بندی کرده و مقدار هر یک را بر اساس میکروگرم/متر مکعب نمایش می دهد. چراغ پایین بدنه ۴ رنگ مختلف دارد، رنگ قرمز آلوده ترین حالت را نمایش می دهد، پس از آن نارنجی از وجود آلودگی در هوا حکایت دارد، رنگ سبز به معنای هوای قابل قبول است و رنگ آبی یعنی هوای کاملاً پاکیزه.

روی بدنه در مجموع ۶ دکمه برای کنترل عملکردهای دستگاه داریم، دکمه خاموش و روشن کردن، دکمه حالت برای انتخاب تصفیه هوا/مرطوب کننده هوا، دکمه سرعت با ۴ حالت خودکار، تند، متوسط و کند، دکمه نشانگر که هربار آن را فشار دهید مقدار یکی از ذرات ۱۰، ۲.۵ و ۱ میکرونی را نمایش می دهد، دکمه ای برای فعال کردن حالت خواب و دکمه فعال کردن سیستم یون ساز.
عملکرد و امکانات

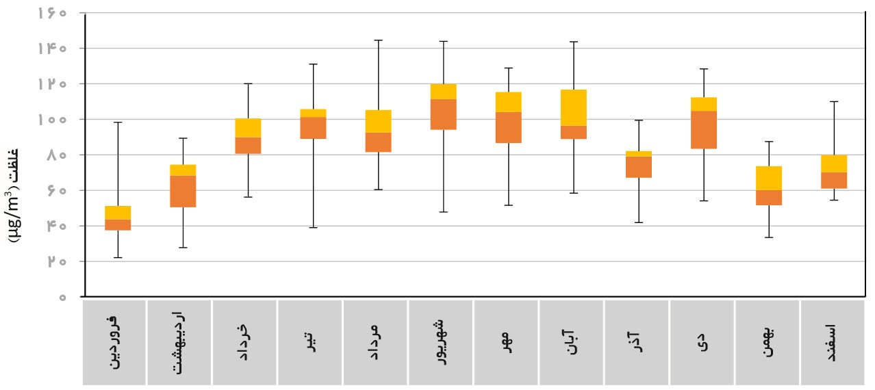
پیش از هر چیز بد نیست بدانید که ضخامت یک دانه شن ساحلی ۹۰ میکرون و تار موی انسان بین ۵۰ تا ۷۰ میکرون قطر دارد، پس وقتی می گوییم ذرات ۱۰ میکرونی، یعنی اندازه ای بین یک پنجم تا یک هفتم موی سر. ذرات کوچکتر از ۱۰ میکرون در اثر احتراق در محیط یا عملکرد اگزوز اتوموبیل ها ایجاد شده و به راحتی با تنفس وارد ریه می شوند. ذرات کوچکتر از ۲.۵ میکرون شامل ترکیبات یونی، کربن و فلزی هستند و با عبور از دیواره ریه به جریان خون انسان وارد می شوند. برای ذرات کمتر از ۱ میکرون هم می توانیم دود سیگار را مثال بزنیم. در جدول زیر می توانید غلظت آلاینده های شهر تهران را در سال ۱۳۹۵ مشاهده کنید.

بر اساس نمودار می توان گفت غلظت آلاینده PM10 یا ۱۰ میکرون فروردین ۹۵ در کمترین سطح خود بوده و در ماه های گرم و خشک به بالاترین حد رسیده است. بر اساس مطالعات انجام شده، ذرات PM10 در سال ۲۰۱۷ عامل ۳.۹ درصد از مرگ و میر کلی و ۴.۲ درصد از مرگ میر ناشی از بیماری های قلبی عروقی در سطح جهان بوده اند که رقم قابل توجهی به شمار می رود و در مناطق آلوده به مراتب بالاتر است.
LG Aqua برای رفع این آلودگی ها از هوای محیط به ۴ لایه فیلتر مختلف مجهز است. لایه اول یا فیلتر اولیه ذرات درشت مثل گرد و غبار و موی حیوانات را گیر می اندازد. لایه ی بعدی فیلتر ضد آلرژی نام دارد و میکروب های آلرژی زا و موجودات میکروسکوپی مثل مایت ها را جذب و تجزیه می کند. لایه ی بعدی که فیلتر ضدعفونی نام دارد با ذغال خالص (کربن)، آنریم زیستی و پلاتین پوشیده شده تا قادر باشد ذرات شیمیایی و فرمالدهید را از هوا حذف کند.

در نهایت به فیلتر HEPA می رسیم که وظیفه ی حذف ویروس و باکتری ها را بر عهده دارد. شرکت سازنده می گوید این فیلتر قادر است ظرف تنها ۵ دقیقه تا ۹۹.۹۷ درصد از ویروس آنفولانزای موجود در محیط را نابود کند. شرکت کره ای علاوه بر این سیستم یون ساز هم در دستگاه آکوا تعبیه کرده است. وقتی این سیستم را با دکمه بالای بدنه فعال کنید دستگاه میلیون ها یون +H و -O آزاد می کند. این یون ها به ویروس یا میکروب های موجود در محیط چسبیده و ساختار مولکولی آنها را نابود می کنند.

اما گذشته از فیلترهای تصفیه و سیستم یون ساز، داخل بدنه یک دیسک چرخان هم تعبیه شده که عملکرد آسیاب آبی را تداعی می کند. این دیسک از طریق منبع آب کنار بدنه تغذیه می شود و آب را در خود جذب می کند، سپس یک فن با پرتاب باد به داخل دیسک، باعث می شود رطوبت جذب شده به هوای محیط انتقال یابد. رطوبتی که با این روش به هوای محیط منتقل می شود را می توان به زمانی شبیه دانست که لباس ها را پس از شستشو داخل خانه پهن می کنید و فضای دل انگیزی ایجاد می شود که تنفس کردن آن لذت بخش است. شرکت سازنده می گوید در این روش بر خلاف اولتراسونیک، اندازه قطره های آب بسیار کوچک بوده و هیچ میکروبی را به اطراف منتقل نمی کنند. علاوه بر این فرش، کتاب ها و کاغذ دیواری شما از خیس شدن در امان هستند و شاهد رشد قارچ و کپک هم نخواهیم بود.
مخزن آب دستگاه ضمناً ۳.۲ لیتر ظرفیت دارد که ساعتی ۳۰۰ سی سی از آن مصرف می شود، یعنی یکبار پر کردن مخزن برای نصف روز کفایت می کند. میزان جریان هوا هم ۳.۵ متر مکعب در دقیقه در نظر گرفته شده و توان مصرفی دستگاه ۴۵ وات است.
دستگاه به طور کلی به شکل خودکار عمل می کند و نظارت چندانی احتیاج ندارد. وقتی هوا آلوده باشد یا درجه فن را دستی زیاد کنید صدای نسبتاّ زیادی به گوش می رسد که از یک پنکه عادی بیشتر است، اما پس از اینکه چراغ دستگاه آبی یا سبز شد، صدای دستگاه هم کاهش می یابد. با این حال در فضای کوچک سر و صدای دستگاه می تواند مخل آسایش کاربر باشد، شرکت سازنده هم بر همین اساس حالت خواب را برای آکوا تدارک دیده که وقتی آن را فعال کنید، در حقیقت حالت فعالیت کم صدا فعال می شود. پس از فشردن دکمه ی حالت خواب می توانید زمان فعال بودن آن را بین ۲ تا ۱۲ ساعت انتخاب کنید.
جمع بندی

ال جی آکوآ قادر است فضایی در ابعاد ۴۰ تا ۵۰ متر مربع را از بخش اعظم آلودگی هوا، بوی نامطبوع، ویروس و ذرات معلق مضر پاکسازی کند. این دستگاه ضمناً به مرطوب کننده مجهز است و با پراکندن ذرات بسیار ریز آب، محیطی مطبوع فراهم می کند. ال جی آکوا به ۴ فیلتر مجزا مجهز است که هر ۶ ماه باید آنها را شستشو کنید. صدای عملکرد دستگاه در حالت معمول قابل قبول است اما در محیط های کوچک و در صورت وجود آلودگی صدای فن ها بیشتر می شود که در طولانی مدت می تواند آزار دهنده باشد. البته برای زمان خواب حالت کم صدا در نظر گرفته شده که می توانید آن را فعال کنید.
ال جی آکوا در مجموع همانطور که سازنده ادعا کرده است می تواند فضای یک اتاق ۴۰ تا حداکثر ۵۰ متری را به شکل نسبتاً محسوسی مطبوع تر کند، اما مسئله اینجاست که محصول ال جی با قیمت ۲.۲۸۰.۰۰۰ تومان به فروش می رسد، در حالی که رقبایی از برندهای مطرح با قیمت های مناسب تر در بازار وجود دارند. برای مثال می توان به دیگر رقیب کره ای یعنی سامسونگ اشاره کرد که دستگاه تصفیه هوای P55 را با قیمت ۱.۸۱۵.۰۰۰ تومان به بازار عرضه کرده است. این محصول با داشتن فیلتر ۳گانه، رطوبت ساز و یون ساز از نظر امکانات تا حد زیادی با ال جی آکوا برابری می کند و قادر است تا شعاع ۵۵ متر را پوشش دهد. محصول سامسونگ ضمناً ۳۶ وات برق مصرف می کند که از رقیب هموطن مناسب تر است.
ویژگی های کلیدی:
- نام مدل AM30GUWF1
- دارای ۴ فیلتر اولیه، آلرژی، بوگیر و HEPA (حذف ذرات معلق و بوها تا ۱ میکرون)
- دارای رطوبت ساز (تولید هوای مطبوع بدون تولید قارچ و کپک)
- مجهز به یون ساز برای ضد عفونی (میکروب و ویروس زدایی از محیط)
- پاکسازی تا شعاع ۴۰ تا ۵۰ متر
- وزن ۱۰.۲ کیلوگرم
- ابعاد ۴۵۰ (عرض) در ۶۳۵ (ارتفاع) در ۳۰۵ (عمق)
- عملکرد کم صدا هنگام خواب
- دارای ۴ حالت فن خودکار، تند، متوسط و کند
- نیاز به شستشوی فیلتر ها هر ۶ ماه یکبار
- خالی شدن منبع آب روزی ۲ بار
- مصرف برق ۴۵ وات
نکات مثبت
- دارای رطوبت ساز
- دارای یون ساز برای حذف ۹۹ درصد ویروس ها
- طراحی ساده و چشم نواز
نکات منفی
- راه اندازی نسبتاً پیچیده
- صدای نسبتاً بلند
- قیمت بالاتر نسبت به محصولات مشابه





